- Výrobce: Applied Biophysics
- Kód výrobce: ECIS-8wTFA

Mgr. Lenka Šídová (Kasalová)
Produktový specialista - Buněčná biologie (ext.)
8wTFA od společnosti Applied BioPhysics je inovativní zařízení určené pro měření transepitelového elektrického odporu (TEER) pomocí standardních 24-jamkových buněčných insertů. Tato technologie umožňuje kontinuální a přesné monitorování integrity buněčných bariér v reálném čase, aniž by bylo nutné vyjímat buňky z inkubačních podmínek.
Technologický úvod:
Měření TEER je klíčovou metodou pro hodnocení funkčnosti a integrity buněčných monovrstev, zejména v epiteliálních a endoteliálních tkáních. Tradiční metody často vyžadují přerušení inkubačních podmínek a poskytují pouze jednorázová měření, což může ovlivnit přesnost výsledků. 8wTFA překonává tyto omezení tím, že umožňuje automatizované a nepřetržité měření TEER v reálném čase, čímž zvyšuje spolehlivost a reprodukovatelnost dat.
Technický popis technologie TEER:
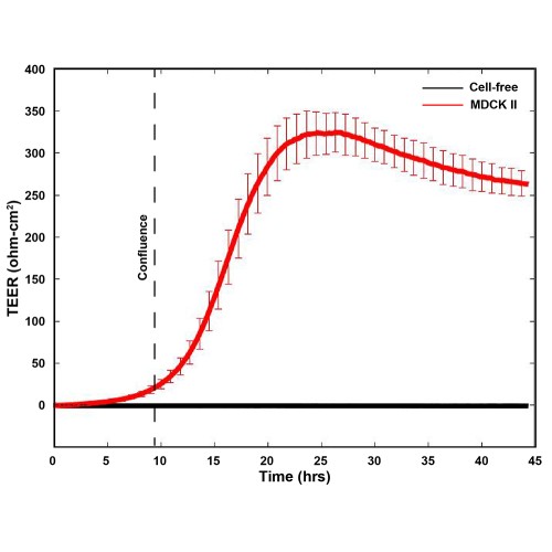
8wTFA využívá technologii Electric Cell-substrate Impedance Sensing (ECIS®) pro měření TEER. Buňky jsou kultivovány na standardních 24-jamkových permeabilních insertech, které jsou umístěny nad zlatými elektrodami v základní desce zařízení. Slabý střídavý proud je aplikován mezi těmito elektrodami a ponořenými protielektrodami, což umožňuje měření elektrického odporu přes buněčnou monovrstvu. Tato neinvazivní metoda bez nutnosti značení poskytuje přesná data o změnách v buněčných bariérách, aniž by ovlivňovala jejich fyziologické podmínky.
Klíčové technické vlastnosti:
- Automatizované TEER měření: Umožňuje kontinuální sledování integrity buněčných bariér v reálném čase v inkubátoru.
- Kompatibilita se standardními 24-jamkovými inserty: Umožňuje snadnou integraci do stávajících laboratorních protokolů bez potřeby speciálního kultivačního materiálu.
- Neinvazivní metoda bez nutnosti značení: Eliminuje potřebu fluorescenčních nebo radioaktivních značek, čímž zachovává přirozené podmínky pro buňky.
- Kompatibilita s ECIS® Z-Theta: Zařízení lze snadno propojit s existujícími systémy ECIS® pro komplexní analýzu buněčného chování.
Aplikační použití:
- Hodnocení integrity buněčných bariér: Monitoruje těsnost epiteliálních a endoteliálních monovrstev, což je zásadní pro studium propustnosti a funkce bariér.
- Testování farmakologických látek: Umožňuje posoudit účinky různých sloučenin na integritu buněčných spojů a identifikovat potenciální toxické nebo terapeutické účinky.
- Studium patologických stavů: Poskytuje nástroje pro analýzu změn v buněčných bariérách spojených s nemocemi, jako jsou záněty, rakovina nebo infekční onemocnění.
- Výzkum transportních mechanismů: Umožňuje studium pohybu iontů a molekul přes buněčné bariéry, což je klíčové pro pochopení absorpčních a sekrečních procesů.
8wTFA od Applied BioPhysics představuje pokročilý nástroj pro výzkum buněčných bariér, který kombinuje přesnost, automatizaci a kompatibilitu se standardními laboratorními postupy, čímž podporuje pokroky v biomedicínském výzkumu a vývoji nových terapeutik.
